Have you ever struggled with multiplying a binomial by a binomial worksheet? It can be a tricky concept to grasp, but with a little practice, you’ll be a pro in no time!
When you’re faced with a multiplying a binomial by a binomial worksheet, remember to take it one step at a time. Break down the problem into smaller parts and tackle each one carefully.

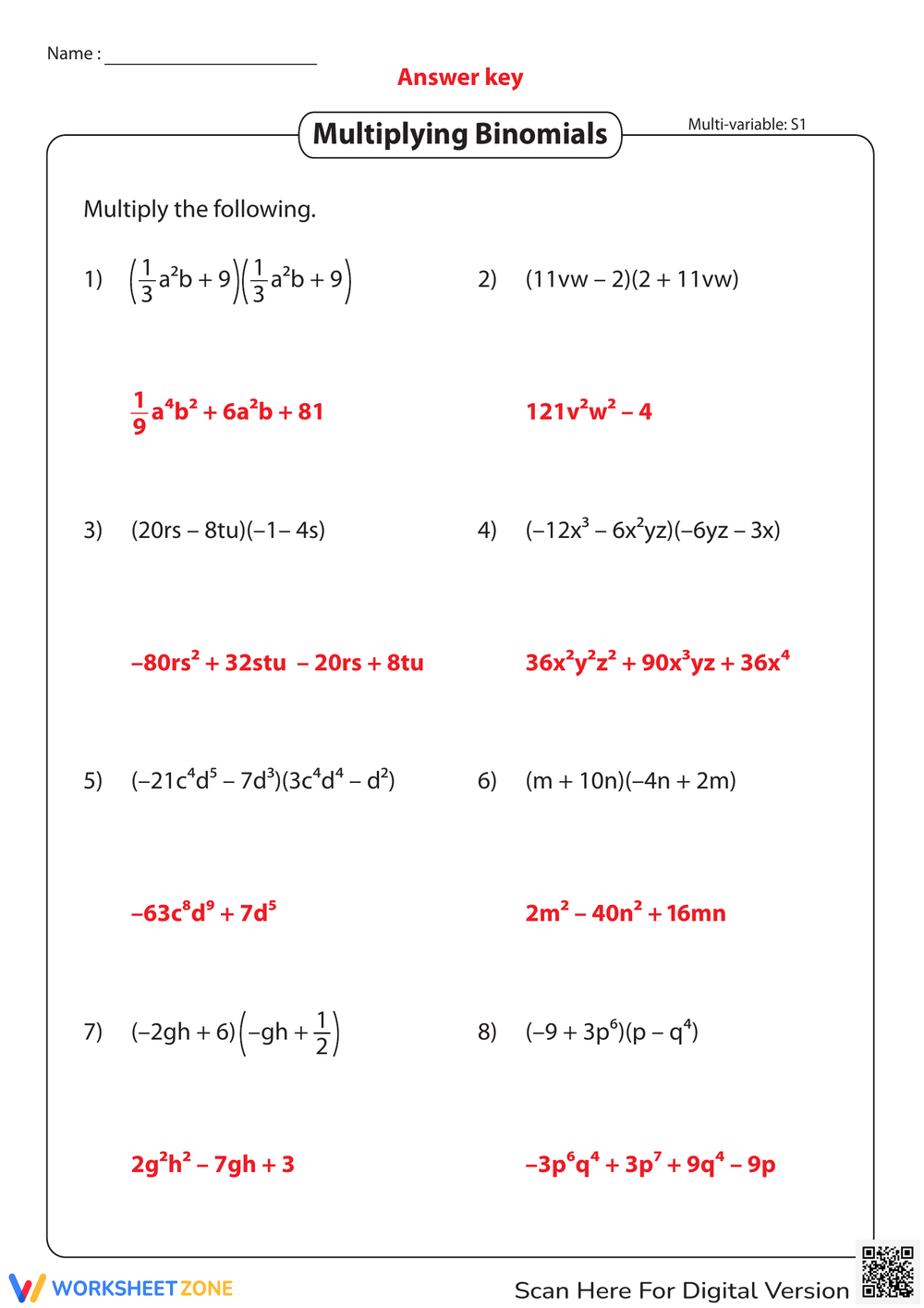
multiplying a binomial by a binomial worksheet
Mastering Multiplying a Binomial by a Binomial Worksheet
Start by multiplying the first term of the first binomial by each term in the second binomial. Then, do the same with the second term of the first binomial. Finally, combine the results to get your final answer.
Don’t forget to pay attention to signs when multiplying binomials. Positive times positive is positive, negative times negative is positive, positive times negative is negative, and negative times positive is negative.
Practice makes perfect when it comes to multiplying binomials. The more worksheets you complete, the more comfortable you’ll become with the process. Don’t be afraid to ask for help if you get stuck – everyone needs a little guidance now and then!
So, next time you come across a multiplying a binomial by a binomial worksheet, don’t panic. Take a deep breath, remember the steps, and work through it methodically. Before you know it, you’ll be acing those problems like a pro!

Multiplying Binomials Using The Grid Method Worksheet 7th Grade PDF Worksheets Cazoom Math

Printable Multiplying Binomials Worksheets Download

Multiplying Binomials Worksheets

Printable Multiplying Polynomials Worksheets

Printable Multiplying Binomials Worksheets Download