Have you been struggling with binomial times binomial worksheets? You’re not alone! Many students find this topic challenging, but don’t worry – we’re here to help break it down for you.
Understanding how to multiply binomials is essential in algebra, and with a bit of practice, you’ll be acing those worksheets in no time. So, let’s dive into some tips and tricks to make this process easier for you.

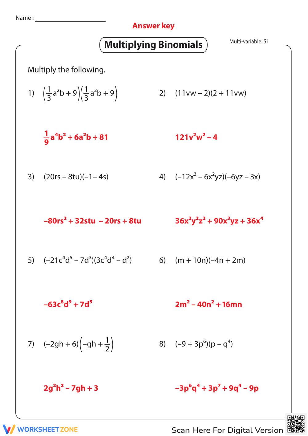
binomial times binomial worksheet
Mastering Binomial Times Binomial Worksheet
First things first, remember the FOIL method – First, Outer, Inner, Last. This acronym will guide you through multiplying two binomials step by step. Start by multiplying the first terms, then the outer terms, inner terms, and last terms.
Practice makes perfect, so make sure to work on plenty of examples to reinforce your understanding. Don’t be afraid to ask for help from your teacher or classmates if you’re feeling stuck. Remember, it’s okay to struggle – what’s important is that you keep trying.
Another helpful tip is to break down the problem into smaller parts. Simplify each step before moving on to the next one. This will help you avoid making careless mistakes and ensure that you’re on the right track throughout the worksheet.
Lastly, stay positive and stay patient. Learning a new concept takes time, so don’t get discouraged if you don’t grasp it right away. Keep practicing, stay focused, and believe in yourself – you’ve got this!
With these tips in mind, you’ll be well on your way to mastering binomial times binomial worksheets. Remember, practice and persistence are key to success in math. Keep working hard, and you’ll see improvement in no time. Good luck!

Multiplying Binomials Worksheets

Printable Multiplying Binomials Worksheets Download

Multiplying Binomials Using The Grid Method Worksheet 7th Grade PDF Worksheets Cazoom Math

Printable Multiplying Polynomials Worksheets

Printable Multiplying Binomials Worksheets Download